Finite State Automata(FSA)
Materi 3
FINITE STATE AUTOMATA(FSA)
FSA (FInite State Automata) merupakan tool yang sangat berguna dalam perancangan lexical analyzer, yaitu bagian dari kompilator yang mengelompokkan karakter-karakter ke dalm sebuah token, yang berupa unit terkecil seperti nama, variabel, dan kerword,
FSA dipai untuk penganalisa leksikal dan dipakai juga dalm text editor, pemrosesan teks, dan program file-searching.
FSA atau AH (Automata Hingga) didefinisikan sebagai pasangan 5 tupel → M = (Q, Σ, δ, S, F).
Keterangan :
Q : himpunan hingga state
Σ : himpunan hingga simbol input (alfabet)
δ :fungsi transisi, menggambarkan transisi state FSA akibat pembacaan simbol input.
Fungsi transisi ini biasanya diberikan dalam bentuk tabel.
S ∈ Q : state AWAL
F ⊆ Q : himpunan state AKHIR
FSA dipai untuk penganalisa leksikal dan dipakai juga dalm text editor, pemrosesan teks, dan program file-searching.
FSA atau AH (Automata Hingga) didefinisikan sebagai pasangan 5 tupel → M = (Q, Σ, δ, S, F).
Keterangan :
Q : himpunan hingga state
Σ : himpunan hingga simbol input (alfabet)
δ :fungsi transisi, menggambarkan transisi state FSA akibat pembacaan simbol input.
Fungsi transisi ini biasanya diberikan dalam bentuk tabel.
S ∈ Q : state AWAL
F ⊆ Q : himpunan state AKHIR
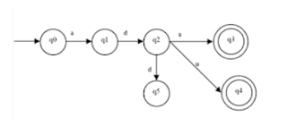
- Mesin ini memiliki 6 state, (q0, q1, q2, q3, q4, q5),
- state awal q0,
- sedangkan q3 dan q4 adalha state akhir, dan
- simbol input adalah (a, d, u)
CONTOH FINITE STATE AUTOMATA
- Tabel transisi
- contoh : FSA untuk mengecek parity ganjil
- Q = {Ganjil, Genap}
- ∑ = {0,1}
- S = Genap
- F = Ganjil
M = (Q, Σ, δ, S, F) dimana :
Q = abjad, himpunan simbol input/masukan
δ = fungsu transisi, δ : Q x Σ → Q
S = state awal / initial state
F = himpunan state akhir / final state
FSA Trbagi menjadi 2 :
1. Deterministic (DFSA/DFA)
- pada setiap input, hanya ada satu keadaan (state) tujuan dari keadaan saat ini.
- DFA terdiri atas 5 tuple, yaitu A = (Q, Σ, δ, q0, F)
- Notasi Lain DFA :
- Diagram Transisi / State Diagram
- Tiap keadaan merupakan simpul
- Tiap keadaan q ∈ Q dan setiap simbol a ∈ ∑, dituliskan sebagai δ(q,a) = p. Artinya, diagram transisi memiliki panah dari q ke p, yang berlabel a.
- keadaan awal (q៰) ditandai dengan adanya panah tampa sumber.
- simpul yang menjadi keadaan final di tandai dengan lingkaran bergaris tepi ganda.
2. Tabel Transisi
- Representasi daftar dari suatu fungsi
- Baris menunjukkan keadaan dan kolom menunjukkan input.
- isi dari bari smenunjukkan keadaan q dan isi dari kolom input a menunjukkan keadaan δ(q,a).
- Contoh DFA
- Contoh DFA yang dapat menerima string berakhir 01
- A = ({q0, q1, q2}, {0,1}, δ, q0, {q2}) dengan fungsi transisi δ diberikan dalam bentuk tabel :
- State Diagram
2. Non Deterministic (NFSA/NFA)
- Pada setiap input terdapat lebih dari satu keadaan tujuan dari keadaan saat ini.





Komentar
Posting Komentar